България 29.01.2021 10:59 Снимка: ДНЕС+
Тормозът над македонските българи от страна на властите в Скопие продължава
Тормозът от страна на властта в Република Северна Македония и полицейското насилие над македонските българи Васил Латковски и Живко Чавдаров вече са в Европейската комисия. Сърбоманските мишки да се чувстват предупредени. Това написа във „Фейсбук“ заместник-председателят на ВМРО и евродепутат Ангел Джамбазки.
Тормозът над македонските българи с българско национално самосъзнание от страна на властите в Скопие продължава. Не че е спирал някога, но сега е особено нагъл, защото се случва в момент, когато официалните власти уж работят за добросъседство и за преодоляване на проблемите между двете държави, с оглед започването на преговори между РСМ и ЕС за членство в Съюза, пише още той.
Според него случващото се с македонските граждани с българско национално самосъзнание в Скопие е истинско нарушаване на човешките права. Като по учебник. Сега да видим колегите европейски представители, които иначе защитават всяко екзотично малцинство, истинско или измислено, всяко листенце и цветенце, как ще реагират на този истински проблем на човешките права. Проблем с нарушаването на човешките права, който се случва систематично и последователно, под носа им. Тук. В Европа, а не на Вирджинските острови, възмущава се Джамбазки.
Македонските граждани с българско национално съзнание са подложени на тормоз, гонения, уволнения. Днес. Това обаче нито ще го прочетете, нито ще го чуете от грантовите правозащитници от жълтите павета и новоизлюпените соеви софийски македонисти. БХК, Отворено общество, останалите „фондации“ на грантовите правозащитници мълчат геройски по темата. Но това е отделен въпрос, казва евродепутатът.
Затова той задава спешни въпроси към ЕК по двата последни скандални случая на тормоз над македонски българи. Информацията е получих и с помощта на Спас Ташев.
„Нека бъде много ясно. Това е само първата стъпка в защитата на правата, законните интереси, имота, честта и живота на македонските българи. Следват обсъждания в Европейската комисия, запознаване на посланици и прочее“, пише Джамбазки.
Ето и българската версия на спешните въпроси, изпратени от Ангел Джамбазки от името на делегацията на ВМРО в ЕП до Европейската комисия:
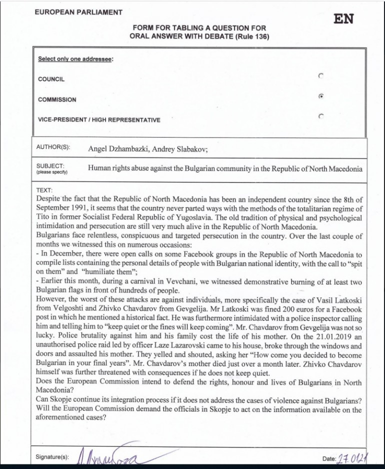
Независимо от факта, че Република Северна Македония е независима държава от 8-и септември 1991 година, чиято независимост бе призната първо в света от Република България, изглежда, че властите в страната никога не са се разделяли с тоталитарните практики на нарушаване на човешките права, познати от диктаторския режим на Тито в бивша Югославия. Старите позорни практики на физическо и психическо насилие са все още живи и действат в Република Северна Македония.
Македонските граждани с българско национално самосъзнание се сблъскват с неспиращо преследване, унижение и заплахи в страната. Само за последните няколко месеца станахме свидетели на множество скандални и тревожни примери за това:
1. През месец декември миналата година бяха създадени множество групи в различни социални мрежи в Република Северна Македония, които целяха създаването на списъци с личните данни и адресите на македонски граждани с българско национално самосъзнание. В тези групи се призоваваше за организиране на тълпи, които да заплюват и унижават тези хора в домовете им и на работните им места.
2 . По-рано този месец, по време на традиционния карнавал в град Вевчани, станахме свидетели на организирано и демонстративно запалване на поне два български национални флага пред очите на стотици свидетели, в присъствието на служители на полицията, които наблюдаваха позорните сцени безмълвно.
3. Най-тревожни и опасни са организираните от властта атаки срещу отделни личности. Такива са случаите на Васил Латковски от Велгощи и на Живко Чавдаров от Гевгелия.
4. Г-н Васил Латковски е глобен от властите в Скопие с глобата от двеста евро, изключително сериозна сума по стандартите на живот в Република Северна Македония, затова че в своя публикация е споделил доказан и необорим исторически факт. Той е преследван и заплашван впоследствие от служители на МВР на РСМ, които са му се обадили по телефона и са го заплашвали, че ако „не мълчи, глобите ще продължават“.
4. Господин Живко Чавдаров от Гевгелия не е имал същия късмет да се размине само с глоби и заплахи по телефона. Полицейската бруталност и нападение срещу него струва живота на неговата майка. На 21.01.2019 г. е извършено незаконно и неразрешено от съд полицейско нахлуване в дома му, водено от офицера от полицията Лазе Лазаровски, при което са разбити вратите и прозорците на дома му. Полицаите нахлуват вътре, при което физически нападат неговата възрастна майка. Те крещят в лицето на възрастната жена и я питат как на края на живота си е решила да се самоопределя като българка. Майката на господин Чавдаров почива в следствие на преживения шок и ужас, само няколко седмици по-късно. Живко Чавдаров от своя страна е заплашван неколкократно от полицаите с тежки последици, ако не мълчи за случилото се. /tribune.bg

Въпросите ми към ЕК са:
1. Смята ли ЕК най-сетне да защити правата, честта и живота на македонските граждани с българско национално самосъзнание?
2. Може ли властта в Скопие да започне преговори за присъединяване към ЕС, при условие че са налице доказани случаи на държавно насилие над македонски българи?
3. Кога ЕК ще изиска официални обяснения и пълно и обективно разследване на случаите на полицейско насилие срещу правото на самоопределение на македонските българи?
Още по темата
CHF
|
1 | 2.10463 |
GBP
|
1 | 2.24498 |
RON
|
10 | 3.83729 |
TRY
|
100 | 3.87564 |
USD
|
1 | 1.66355 |
Последни новини
- 20:25 Йосиф Миладинов: Една мечта се сбъдна
- 20:17 Четири навика, които ни пречат да пестим
- 20:08 Опашки от коли на "Дунав мост 1"
- 20:00 Руски боен самолет се разби в Охотско море, пилотът е оцелял
- 19:50 Пунктът "Рудозем-Ксанти" ще заработи до края на годината, според Стефан Янев
- 19:38 Кандидатът за канцлер в Германия изпитва дълбок срам заради Втората световна война
- 19:30 Астън Вила уреди заместник на Грийлиш
- 19:18 Пянич иска да се върне в Ювентус